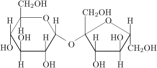
Índice Introdução Protocolo experimental Resultados Discussão dos Resultados Conclusão Bibliografia Introdução teórica “Existem diversas substâncias químicas que podem funcionar como catalisadores, mas as mais eficazes e que são utilizadas pelas células são as enzimas. Estes catalisadores biológicos, ou bio catalizadores são, na sua maioria proteínas especiais que têm capacidade de acelerar reacções químicas” (Matias, 2004) Enzimas são um grupo de substâncias orgânicas de natureza proteica, com actividade intra ou extra celular que têm funções catalisadoras, induzindo reacções químicas que, sem a sua presença, dificilmente aconteceriam. Também aumentam a velocidade das reacções químicas, possibilitando o metabolismo dos seres vivos. “ A actividade das enzimas é fundamental para regular os processos metabólicos. Contudo a actividade enzimática é condicionada por diversos factores.” (Matias, 2004) As enzimas possuem uma acção específica, isto é, cada enzima actua somente e sempre sobre o mesmo tipo de reacção química, como uma chave que só serve para abrir uma fechadura. Cada enzima possui uma região denominada centro activo, que se une especificamente ao substrato a modificar. A acção de uma enzima depende também da temperatura, do pH e da presença de inibidores. Em relação á Influência da temperatura podemos dizer que a velocidade das reacções enzimáticas aumenta com a temperatura. No entanto, isto só é verdade dentro de certos limites porque as enzimas, devido á sua natureza proteica, sofrem desnaturação a partir de uma determinada temperatura (elevada), sofrendo inactivação a temperaturas baixas. No entanto a inactivação em certos casos pode ser reversível, enquanto que a desnaturação como se baseia na quebra das ligações químicas entre os aminoácidos, já não é possível ser reversível. Em relação á influência do pH podemos dizer que existe geralmente um valor bem definido de pH, para o qual a actividade catalítica de uma enzima atinge um valor máximo. Este valor é o pH óptimo de uma enzima. Há no entanto uma faixa em que essa actividade oscila entre um valor de pH mínimo e um valor de pH máximo, dentro do qual a enzima pode actuar. Tanto pH alto como baixo provocam a destruição da enzima Em relação aos inibidores, podemos afirmar que os inibidores competitivos reagem com a enzima, competindo com o substrato, formando um complexo enzima – inibidor e o seu efeito diminui quando a concentração do substrato aumenta. Os inibidores não competitivos combinam-se irreversivelmente com o complexo enzima – substrato, impedindo a formação dos produtos. O seu efeito pode aumentar, quando a concentração do substrato aumenta. A sacarose (C12H22O11), é um tipo de hidrato de carbono, formado por uma molécula de glicose e uma de frutose produzida pela planta ao realizar o processo de fotossíntese. Cuja composição química é, respectivamente:  Composição química da sacarose A glicose é um hidrato de carbono do tipo monossacarídeo a sua fórmula molecular é C6H12O6 , encontrado na natureza na forma livre ou combinada. Juntamente com a frutose e a galactose, é um hidrato de carbono fundamental. No metabolismo, a glicose é uma das principais fontes de energia. O Teste de licor de Fehling é um teste químico para determinar o carácter redutor de uma substância orgânica (substância que, em reacção química, doa electrões a outra substância). É geralmente utilizado para detectar açúcares redutores (monossacarídeos, como a glicose, e dissacarídeos, como a maltose e a lactose) e aldeídos. Se se adicionar à solução este teste e se aquecer até à fervura, verifica-se a formação de um precipitado cor-de-tijolo de óxido de cobre (I) que prova que a substância em estudo é redutora. Esta actividade tem como principal objectivo efectuar a hidrólise enzimática da sacarose, tentando assim observar a presença de glicose. Protocolo Experimental Material utilizado: - Balões de Erlenmeyer; - Papel de filtro; - Funil; - Lamparina; - Água destilada; - Vareta de vidro; - Placa eléctrica; - Agitador magnético; - Tubos de ensaio; - Pipetas; - Pipetador; - Levedura de cerveja; - Proveta graduada; - Vidro de relógio; - Espátula; - Sacarose; - Licor de Fehling; - Balança; - Banho – maria. Procedimento: Preparação dos meios: 1 – Preparou-se uma suspensão de leveduras a 1%. Deixou-se no agitador durante 2 a 3 horas a baixa rotação; 2 – Filtrou-se metade da suspensão de leveduras; 3 – Preparou-se uma soluça de sacarose a 5%; Preparação dos tubos: 1 – Preparou-se 5 tubos de ensaio nas seguintes condições: . Tubo 1 – 3ml de solução de sacarose; . Tubo 2 – 3ml de solução de sacarose + 3ml de suspensão de leveduras; . Tubo 3 – 3ml de solução de sacarose + 3ml do filtrado de leveduras; . Tubo 4 – 3ml de solução de sacarose + 3ml do filtrado de leveduras fervido durante 5 minutos; . Tubo 5 – 3ml de suspensão de leveduras; 2 – Colocou-se os tubos de ensaio em banho – maria a 30ºC; 3 – Realizou-se a pesquisa de glicose após 1 e 10 minutos. Resultados Número do Tubo | Após 1 minuto (em banho – maria a 30ºC) | Após 10 minutos (em banho – maria a 30ºC) | Cor da solução | 1 | -------------- | -------------- | ------- | 2 | Não ocorreu reacção | Não ocorreu reacção | Azul-escuro | 3 | Não ocorreu reacção | Não ocorreu reacção | Azul-escuro | 4 | Não ocorreu reacção | Não ocorreu reacção | Azul-escuro | 5 | ------------ | Não ocorreu reacção | Azul-escuro | Tabela 1 – resultados observados na experiência Discussão dos resultados Verificando os resultados podemos verificar que não ocorreu qualquer tipo de reacção em todos os tubos de ensaio preparados, logo não ocorreu o esperado, visto que a levedura ao ser colocada num meio com sacarose, usualmente, vai produzir sacarase que vai degradar a sacarose em glicose e frutose. A presença da glicose é normalmente detectada, colocando licor de Fehling na solução e levando a mesma á ebulição. Se se verificar a formação de um precipitado cor-de-tijolo, é confirmada a presença deste açúcar redutor, no entanto, tal facto não se verificou na experiência realizada. Uns dos factores que poderão ter contribuído, para que o resultado não fosse o esperado são a excessiva diluição da solução de sacarose; a excessiva diluição das leveduras, conduzindo assim ao não aparecimento de glicose detectável; as leveduras não serem viáveis, ou seja o produto biológico já ser esterilizado; ausência total de leveduras no produto; a presença de um inibidor na solução, que pudesse inactivar a enzima; tempo de encubação insuficiente; como esta actividade foi elaborada num curto espaço de tempo, deveria ter sido feita a 35ºC – 37ºC, e não a 30º, porque 30ºC é a temperatura ideal para o desenvolvimento das leveduras em 24h. O maior problema é o tempo, visto que o ideal para detectar a presença de glicose é 24h, mas em casos excepcionais, e nas proporções adequadas é possível detectar a presença da glicose após 2h. Conclusão Com esta actividade conclui que as enzimas são catalisadores proteicos cuja acção torna possível o conjunto de transformações químicas (metabolismo) que se dá no interior do organismo. Se não existissem as enzimas, as reacções de degradação de moléculas mais complexas em moléculas mais simples não seriam possíveis. Conclui também que há certas condições que devem ser respeitadas, para que não se dê a inactivação das enzimas. Os objectivos não foram cumpridos com sucesso, devido ás razões referidas anteriormente na discussão dos resultados. Bibliografia . MATIAS, Osório; MARTINS, Pedro. Biologia 12 – Biologia 12ºano. Areal Editores. Porto. 2005, pp. 231, 233. . PINTO, Ana; FIALHO, Elisa; MASCARENHAS, Maria; INÁCIO, Maria. Técnicas Laboratoriais de Biologia I – 10º ano. 3ª Edição, Texto Editora. Lisboa. 2002, pp. 87 e 89. . CORDOVA, Corrado, Nova Enciclopédia Médica, Publicit . Moderna enciclopédia universal, Lexicoteca . Http://pt.wikipedia.org/wiki/Enzima Outros Trabalhos Relacionados | Ainda não existem outros trabalhos relacionados | |