Início > Resumos & Sebentas > Físico-Química > 10º ano

Resumos & Sebentas

Físico-Química - 10º Ano

Radiação, Energia e Espectros

Autores: Cátia Mendes

Escola: [Escola não identificada]

Data de Publicação: 23/02/2007

Resumo: Resumo sobre o tema "Radiação, Energia e Espectros", realizado no âmbito da disciplina de Físico-Química (10º ano).
Ver o Trabalho Completo

Comentar este resumo / Ler outros comentários

Se tens resumos de matérias ou sebentas que consideres de boa qualidade e úteis para outros estudantes, envia-nos, de preferência em word para notapositiva@sapo.pt pois só assim o nosso site poderá crescer.

 

 

Radiação, Energia e Espectros

Radiação, Energia e Espectros

Radiação

λ (comprimento de onda) distância de um 1 ciclo (m)

ν (frequência) número de vezes que 1 ciclo se repete num segundo (Hz ou s-1)

T (tempo) tempo de 1 ciclo (s)

  v unidade relativas ao tempo

Caracterizar uma onda

T nidade relativas ao tempo
  λ não caracteriza a onda pois v ≠ c, logo o λ vai ser diferente dependendo do meio.

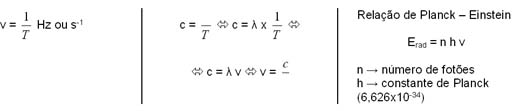
Fórmulas

A energia do Sol e de outras estrelas é libertada através de radiações electromagnética que percorre o espaço vazio. Existem vários tipos de radiações, umas mais energéticas que outras. Apenas é possível ver a luz visível à vista desarmada. A luz branca é composta por várias radiações, correspondente a várias cores, todas as cores do arco-íris. Para visualizar todas estas cores é necessário decompor a luz e a este resultado chamamos espectro.

O espectro electromagnético

A luz tem um espectro muito mais vasto do que a luz visível, havendo um largo conjunto de aplicações. A este espectro total da luz chamamos espectro electromagnético.

 
Fig.3 – Espectro electromagnético. Os raios gama são os mais energéticos e as ondas de rádio as menos energéticas.

E é directamente proporcional ν.

E é inversamente proporcional λ.

Vários tipos de espectros

Espectros Descontínuos:

de absorção – fundo de cor com riscas pretas. É obtido, quando os electrões transitam de um estado de energia menor para um estado de energia maior, absorvendo radiações.

de emissão – fundo preto com riscas de cor. É obtido quando os electrões transitam de um estado de energia maior para um estado de energia menor, emitindo radiações.        

Efeito fotoeléctrico

 

Outros Resumos/Sebentas Relacionados

Ainda não existem outros trabalhos relacionados

 

Início > Resumos & Sebentas > Físico-Química > 10º ano