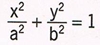
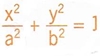
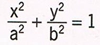
DEFINIÇÃO Uma elipse é um conjunto de pontos do plano cuja soma das distâncias a dois pontos fixos (focos) é constante e maior do que a distância entre eles.  COMO SE OBTÉM UMA ELIPSE… Para obtermos uma elipse basta cortar um cone por um plano numa determinada posição.  Também se pode obter uma elipse usando um foco de luz que se projeta numa parede, num plano inclinado relativamente ao foco.  ELEMENTOS DA ELIPSE…  Tradicionalmente representa-se por: 2a - comprimento do eixo maior 2b – comprimento do eixo menor 2c – distância entre os focos a e b são chamados de semieixos. Equação da elipse… Relação entre a, b e c.  P e Q são vértices/pontos da elipse. A soma das distâncias de P aos focos: (a-c) + (a+c) é igual à soma das distâncias de Q aos focos: Então:   ou   Com o exemplo seguinte vamos verificar que uma elipse pode ser representada por uma equação do tipo:  Na figura seguinte está representada uma elipse, mostra que uma equação do tipo pode representar a elipse.  EXERCÍCIOS: 1) Escrever a equação da elipse de focos (-2, 0) e (2, 0) e eixo maior igual a 8. 2) Definir a região interior à elipse de eixo menor igual a 6 e focos (0, 3) e (0, 3). DA CIRCUNFERÊNCIA À ELIPSE… Partindo da equação de uma circunferência com centro na origem, vamos obter a equação de uma elipse procedendo-se a uma alteração na abcissa ou na ordenada de cada um dos pontos da circunferência.   Parte-se da equação da circunferência: Parte-se da equação da circunferência:  Mantendo a abcissa e passando a Mantendo a abcissa e passando a ordenada para metade: abcissa para metade:  EXERCÍCIOS: A elipse E, representada na figura ao lado, foi obtida a partir da circunferência C representada na mesma figura. O eixo menor na elipse tem 4 cm e o eixo maior 6cm. A circunferência tem centro em (4, 3) e raio 2. Escreve uma equação de circunferência e uma equação de elipse.  Considera a condição:  1) Escrever na forma a equação da elipse que a condição dada representa. 2) Representar geometricamente a elipse e indicar as coordenadas dos focos e dos vértices. __________________________________ Outros Trabalhos Relacionados | Ainda não existem outros trabalhos relacionados | |