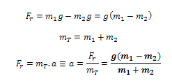
Questões pré-laboratoriais 1.  2. Considerando uma corda sem massa nem propriedades elásticas, estando a mesma com tensão, o peso de m1 está aplicado em m2, ao mesmo tempo que o peso de m2 está aplicado m1. Por meio da segunda lei de Newton, obtém-se a fórmula pretendida.  3. Visto que o denominador da fórmula se trata, exatamente, da massa total, quanto maior for a massa total do sistema, menor será a aceleração. 4. Visto que o numerador da fórmula se trata da diferença entre as duas massas, quanto maior for essa mesma diferença, maior será a aceleração. Materiais Utilizados . Fita métrica | Precisão = 1 mm . Cronómetro | Precisão = 0,2 s . Roldana leve; . Fio inextensível; . 10 corpos (ver Registo dos valores da atividade experimental); . Suporte; . Balança | Precisão = 0,01 g =![]() . Borracha para amortecer a queda das massas | Espessura ![]() Registo dos valores da atividade experimental Massa dos corpos  NOTAS: A massa dos corpos está representada em gramas, tendo uma precisão de ±0,005g. Foi refeita a medição da massa dos corpos, mesmo tendo a massa indicada nos mesmos, devido ao estado de aparente oxidação que apresentavam. Calculos Conjunto de corpos 1: Corpo nº1 e corpo nº9  Conjunto de corpos 2: Corpo nº2 e corpo nº6  Conjunto de corpos 3: Corpo nº5 e corpo nº6  Questões pós-laboratoriais 1. Esta ação deverá ser efetuada de modo a ser possível obter um valor mais exato e preciso e, consequentemente, mais próximo do valor real. Isto torna-se especialmente importante quando estamos a trabalhar com intervalos de tempo extremamente curtos, como é o caso. 2. O declive da reta representa a constante m, na equação , que neste caso é enunciada pelo quociente entre o módulo da diferença e a soma das massas dos corpos. 3. Sendo a soma das massas dos corpos constante, a solução para aumentar a aceleração do sistema seria aumentar o numerador da fórmula, enunciado pelo módulo da diferença das massas dos corpos. Para que tal ocorra, é necessário utilizar corpos com massas bastante distintas. 4. Possível incompetência na colocação da fita métrica e falta de reflexos humanos aquando do início e da paragem do cronómetro. 5. B e D. __________________________________ Outros Trabalhos Relacionados | Ainda não existem outros trabalhos relacionados | |