Início » Trab. Estudantes » Física » 11º Ano

Trabalhos de Estudantes

Trabalhos de Física - 11º Ano

 

Queda Livre

Autores: Ana Gonçalves

Escola: [Escola não identificada]

Data de Publicação: 16/07/2011

Resumo do Trabalho: Trabalho (Relatório) cujo objectivo foi responder à questão: " Duas esferas com pesos diferentes, em queda livre, experimentam ou não amesmo aceleração?", realizado no âmbito da disciplina de Física (11º ano). Ver Trabalho Completo

Comentar este trabalho / Ler outros comentários

Se tens trabalhos com boas classificações, envia-nos, de preferência em word para notapositiva@sapo.pt pois só assim o nosso site poderá crescer.

 

 

 

Queda Livre

Objectivo do trabalho

Responder à questão:

"Duas esferas com pesos diferentes, em queda livre, experimentam ou não amesmo aceleração?"

Introdução teórica

Queda livre é o movimento de um corpo que, partindo do repouso e desprezando a resistência do ar, está sujeito, apenas à interacção gravítica.

Foi Galileu quem observou que, desprezando a resistência do ar, todos os corpos soltos num mesmo local caem com uma mesma aceleração, quaisquer que sejam as suas massas. Essa aceleração é denominada aceleração gravítica, sendo que a única força que actua sobre o corpo é a força gravítica.

Os corpos apenas sujeitos à força gravítica chamam-se graves e dizem-se em queda livre, independentemente do facto de estarem a cair ou a subir.

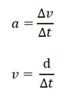
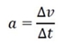
O movimento de queda livre de corpos próximos da superfície da Terra pode ser descrito pela equação horária para um movimento uniformemente acelerado dada por:

Onde h0 e v0 são a posição e velocidade iniciais do movimento e escrevemos h(t) tomando um referencial vertical com sentido positivo para baixo. Com essa convenção para h(t), a aceleracão g tem sentido positivo, o que resulta no sinal positivo no termo quadrático em t.

Se o corpo começar do repouso, v0 = 0. Se adicionalmente tomamos como origem de h a posição inicial do corpo h0 = 0 e temos a relação simples

Características da aceleração gravítica

. Direcção: vertical

. Sentido: de cima para baixo

. À superfície da Terra o seu valor médio é de 9.8 m/s2.

. A fórmula que a calcula é:

Material

. Suporte universal

. Célula fotovoltaica com marcador digital de tempo (2x)

. Esferas de diferentes diâmentros

Procedimento

1) Montar todo o material 1)

2) Deixe cair a esfera de menor diâmetro imediatamente acima da célula cuja posição é a mais elevada, a célula deve estar desligada.

3) Anotar a velocidade da esfera.

4) Anotar o tempo que a esfera demora de uma célula a outra.

5) Com as duas células ligadas, repita o processo.

6) Repita 3 vezes cada um dos processos.

7) Refaça todos os passos anteriores, mas desta vez com a esfera de maior diâmetro.

Resultados obtidos

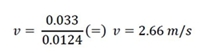
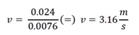
1º caso – primeira célula fotovoltaica desligada – a distância entre ambas é de 25 cm

Tempo de queda (s)

Médio
Esfera pequena (diâmetro=2.4cm) 0.0073 0.0081 0.0077 0.0077
Esfera grande (diâmetro=3.3cm) 0.0130 0.0133 0.0128 0.0130

Esfera pequena

Esfera grande


 

2º caso – primeira célula fotovoltaica desligada – a distância entre ambas é de 30 cm

Tempo de queda (s)

Médio
Esfera pequena (diâmetro=2.4cm) 0.0075 0.0080 0.0073 0.0076
Esfera grande (diâmetro=3.3cm) 0.0121 0.0124 0.0128 0.0124

Esfera pequena

Esfera grande


 

3º caso – duas células fotovoltaicas ligadas – a distância entre ambas é de 25 cm

Variaçãodo tempo de queda (s)

Médio
Esfera pequena (diâmetro=2.4cm) 0.1752 0.1751 0.1748 0.1750
Esfera grande (diâmetro=3.3cm) 0.1700 0.1870 0.1850 0.1810

Esfera pequena

Esfera grande

Conclusão

Embora na nossa experiência os valores estejam um pouco fora do comum (deveriam ser a = 9.8m/s2) e a diferença entre a aceleração da esfera de maior diâmentro e a de menor diâmetro seja de cerca de 3 m/s2 (o que é demasiado), sabemos que corpos com diferentes massas têm igual aceleração gravítica, uma vez que a massa não altera nada no caso em questão.

Na fórmula a massa não aparece, provando que não influência o resultado final.

Bibliografia

VENTURA, Graça. FIOLHAIS, Manuel. FIOLHAIS, Carlos. PAIVA, João. FERREIRA, António. 11F. Lisboa: Texto Editores, 2008.

Outros Trabalhos Relacionados

Ainda não existem outros trabalhos relacionados

Início » Trab. Estudantes » Física » 11º Ano